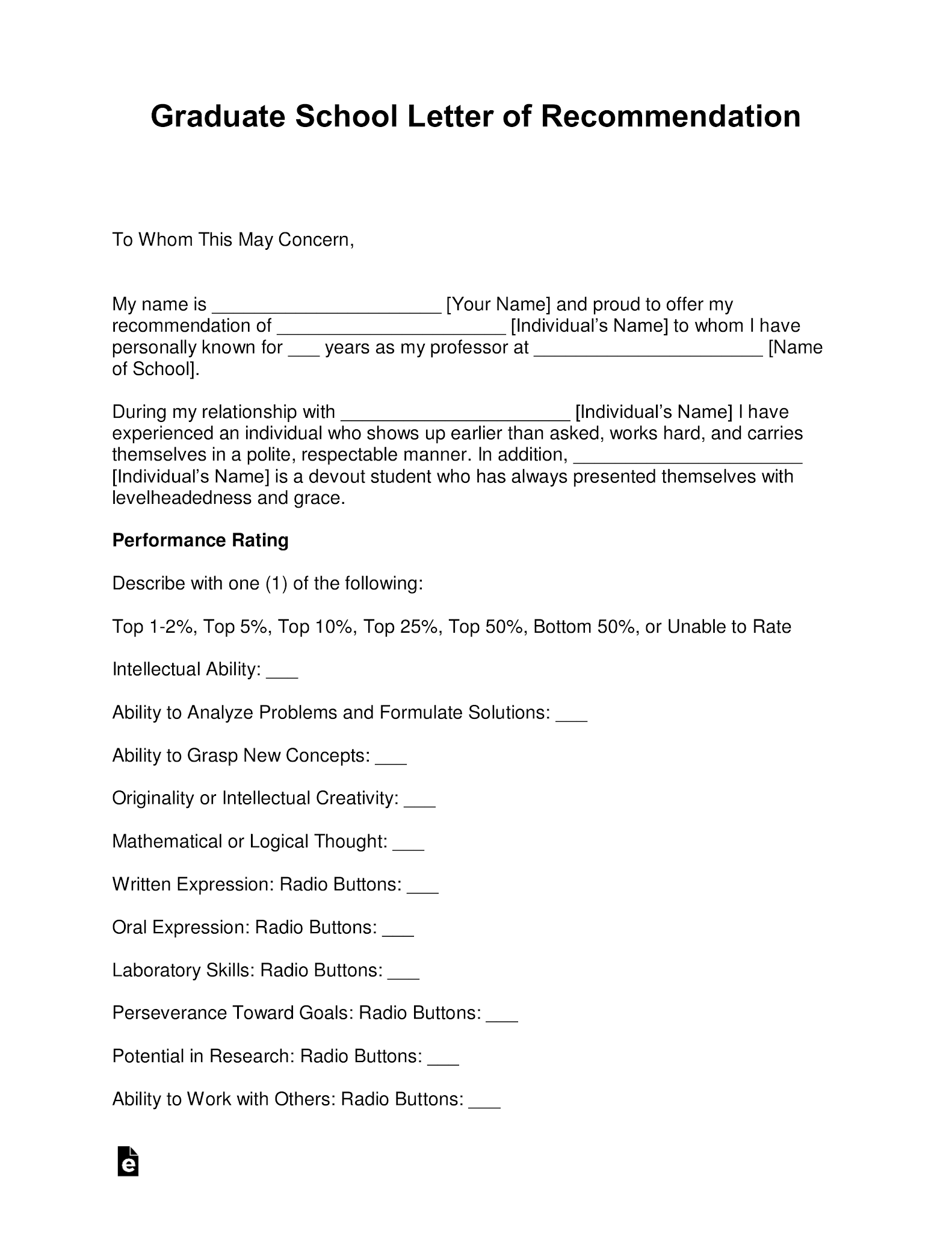
How To Write A Recommendation Letter For Graduate School
How To Write A Recommendation Letter For Graduate School
![]() |
| Letter Of Recommendation For Graduate |
![]() |
| Sample Letter Of Recommendation For |
![]() |
| Letters Of Recommendation For Graduate |
![]() |
| Graduate School Reference Letter Sample |
![]() |
| Recommendation For Grad School |
![]() |
| Grad School Letter Of Recommendation |
![]() |
| Recommendation Letter For Employee From |
![]() |
| Free Graduate School Letter Of |
![]() |
| Who Should Write My Letters Of |
![]() |
| Academic Recommendation Letter Sample |
![]() |
| Sample Graduate School Recommendation |
![]() |
| Teacher Recommendation Letter Samples |












0 komentar